Pass4Future also provide interactive practice exam software for preparing PRMIA Operational Risk Manager (ORM) (8010) Exam effectively. You are welcome to explore sample free PRMIA 8010 Exam questions below and also try PRMIA 8010 Exam practice test software.
Do you know that you can access more real PRMIA 8010 exam questions via Premium Access? ()
Which of the following best describes the concept of marginal VaR of an asset in a portfolio:
Answer : D
The correct answer is choice 'd'
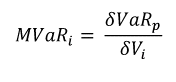
Marginal VaR is just the change in total VaR from a $1 change in the value of the asset in the portfolio. All other answers are incorrect. Mathematically, it is expressed as follows, where VaRp is the VaR for the portfolio, and Vi is the value of the asset in question.

Other answers describe other VaR related concepts such as incremental VaR, Component VaR and Conditional VaR.
Which of the following formulae correctly describes Component VaR. (p refers to the portfolio, and i is the i-th constituent of the portfolio. MVaR means Marginal VaR, and other symbols have their usual meanings.)

Answer : D
The first two formulae describe component VaR. The last formula is the formula for Marginal VaR. Therefore I and II is the correct answer.
Component VaR is a VaR decomposition technique that allows the total VaR for a portfolio to be broken down and attributed to the components of a portfolio. The total of the component VaR for each constituent of a portfolio is equal to the VaR for the portfolio. This property is extremely useful as opposed to the standalone VaR for each constituent taken alone as it can be used for allocating trading budgets.
A risk analyst peforming PCA wishes to explain 80% of the variance. The first orthogonal factor has a volatility of 100, and the second 40, and the third 30. Assume there are no other factors. Which of the factors will be included in the final analysis?
Answer : C
The total variance of the system is 100^2 + 40^2 + 30^2 = 12500 (as variance = volatility squared). The first factor alone has a variance of 10,000, or 80%. Therefore only the first factor will be included in the final analysis, and the rest will be ignored.
Interestingly, this example highlights one of the limitations of PCA. Obviously, the second and third factors are material when considering volatility, though the effect of squaring them to get the variance makes them appear less important than they are.
Which of the following are valid criticisms of value at risk:
1. There are many risks that a VaR framework cannot model
2. VaR does not consider liquidity risk
3. VaR does not account for historical market movements
4. VaR does not consider the risk of contagion
Answer : A
Risks such as abrupt changes to a firm's business model caused by legislation, or the introduction of capital controls in foreign countries where a firm in invested, geo-political risks etc are not modelable in the traditional sense. These risks cannot be modeled using VaR. Therefore statement I is correct.
VaR indeed does not consider liquidity risk, it is only concerned with the standard deviation of portfolio returns. Statement II is a valid criticism.
Statement III is not correct, as VaR can consider historical price movements.
Statement IV is correct, as VaR does not consider systemic risk or the risk of contagion.
Which of the following was not a policy response introduced by Basel 2.5 in response to the global financial crisis:
Answer : B
The CCAR is a supervisory mechanism adopted by the US Federal Reserve Bank to assess capital adequacy for bank holding companies it supervises. It was not a concept introduced by the international Basel framework.
The other three were indeed rules introduced by Basel 2.5, which was ultimately subsumed into Basel III.
Stressed VaR is just the standard 99%/10 day VaR, calculated with the assumption that relevant market factors are under stress.
The Incremental Risk Charge (IRC) is an estimate of default and migration risk of unsecuritized credit products in the
trading book. (Though this may sound like a credit risk term, it relates to market risk - for example, a bond rated A being downgraded to BBB. In the old days, the banking book where loans to customers are held was the primary source of credit risk, but with OTC trading and complex products the trading book also now holds a good deal of credit risk. Both IRC and CRM account for these.)
While IRC considers only non-securitized products, the CRM (Comprehensive Risk Model) considers securitized products such as tranches, CDOs, and correlation based instruments.
The IRC, SVaR and CRM complement standard VaR by covering risks that are not included in a standard VaR model. Their results are therefore added to the VaR for capital adequacy determination.